1. Quickly find sites and domains for sale in the marketplace based on criteria that interests you.

    Enter Marketplace

Proxy Site 2000+ unique daily | aggy.info

Discussion in 'Sites' started by superimpose, Mar 7, 2007.

  1. #1
    Hi,
    I'm selling a proxy site; it is quite new and growing incredibly fast. too fast, that my host kicked me out, they just give me a 24 hours notice, so i have to sell it now. my lost is your gain.


    www.aggy.info

    majority of the traffic come from USA, Domain registered via Godaddy. it receive about 2000+ unique per day and roughly a million page /day.

    Auction start at $1 and will last 24 hours. That is, it will end at 9pm USA Eastern Standard Time (GMT -5)

    I have some number for BIN in my mind, PM me to offer.
     

    Attached Files:

    superimpose, Mar 7, 2007 IP
  2. mixke

    mixke Prominent Member

    Messages:
    5,917
    Likes Received:
    590
    Best Answers:
    0
    Trophy Points:
    310
    As Seller:
    100% - 0
    As Buyer:
    100% - 0
    #2
    Let me start this for you .. 2$ btw can I have some revenue and referral stats . Good Luck with the sale ;) :)
     
    mixke, Mar 7, 2007 IP
  3. superimpose

    superimpose Peon

    Messages:
    99
    Likes Received:
    2
    Best Answers:
    0
    Trophy Points:
    0
    As Seller:
    100% - 0
    As Buyer:
    100% - 0
    #3
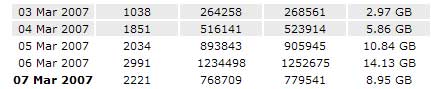
    i didn't put adsense on it but i got $25 in the last two weeks from adversal. for referral, please see the attached image. thanks
     
    superimpose, Mar 7, 2007 IP
  4. templates

    templates Notable Member

    Messages:
    4,772
    Likes Received:
    218
    Best Answers:
    0
    Trophy Points:
    205
    As Seller:
    100% - 4
    As Buyer:
    100% - 6
    #4
    do you know how much server load it was using?
     
    templates, Mar 7, 2007 IP
  5. superimpose

    superimpose Peon

    Messages:
    99
    Likes Received:
    2
    Best Answers:
    0
    Trophy Points:
    0
    As Seller:
    100% - 0
    As Buyer:
    100% - 0
    #5
    i ran it on a rather fast server (dual xeon with 1.5gb ram); but server load is relative to how fast your server is, so i couldn't give you the exact number (since it will vary from server to server). but i can tell you that you will probably need at least 10GB of data transfer per day.
     
    superimpose, Mar 7, 2007 IP
  6. SteveAR

    SteveAR Well-Known Member

    Messages:
    2,692
    Likes Received:
    42
    Best Answers:
    0
    Trophy Points:
    160
    As Seller:
    100% - 0
    As Buyer:
    50.0% - 1
    #6
    30 for me thanks
     
    SteveAR, Mar 7, 2007 IP
  7. SteveAR

    SteveAR Well-Known Member

    Messages:
    2,692
    Likes Received:
    42
    Best Answers:
    0
    Trophy Points:
    160
    As Seller:
    100% - 0
    As Buyer:
    50.0% - 1
    #7
    can you post country stats? the links that are listed are from another country. thanks
     
    SteveAR, Mar 7, 2007 IP
  8. superimpose

    superimpose Peon

    Messages:
    99
    Likes Received:
    2
    Best Answers:
    0
    Trophy Points:
    0
    As Seller:
    100% - 0
    As Buyer:
    100% - 0
    #8
    added to the attachment. thanks,
     
    superimpose, Mar 7, 2007 IP
  9. mubin

    mubin Notable Member

    Messages:
    3,434
    Likes Received:
    123
    Best Answers:
    0
    Trophy Points:
    240
    As Seller:
    100% - 0
    As Buyer:
    100% - 0
    #9
    what terms is it ranking for on google?

    Can I also see the adversal screenshots?
     
    mubin, Mar 7, 2007 IP
  10. ryukenden

    ryukenden Well-Known Member

    Messages:
    2,791
    Likes Received:
    38
    Best Answers:
    0
    Trophy Points:
    140
    As Seller:
    100% - 0
    As Buyer:
    100% - 0
    #10
    $32 from me.
     
    ryukenden, Mar 7, 2007 IP
  11. artarmon42

    artarmon42 Guest

    Messages:
    272
    Likes Received:
    11
    Best Answers:
    0
    Trophy Points:
    0
    As Seller:
    100% - 0
    As Buyer:
    100% - 0
    #11
    $35 from me.
     
    artarmon42, Mar 8, 2007 IP
  12. mubin

    mubin Notable Member

    Messages:
    3,434
    Likes Received:
    123
    Best Answers:
    0
    Trophy Points:
    240
    As Seller:
    100% - 0
    As Buyer:
    100% - 0
    #12
    Edited....
     
    mubin, Mar 8, 2007 IP
  13. luckyme

    luckyme Peon

    Messages:
    219
    Likes Received:
    4
    Best Answers:
    0
    Trophy Points:
    0
    As Seller:
    100% - 0
    As Buyer:
    100% - 0
    #13
    $100 from me, can't wait for this site:D
     
    luckyme, Mar 8, 2007 IP
  14. ryukenden

    ryukenden Well-Known Member

    Messages:
    2,791
    Likes Received:
    38
    Best Answers:
    0
    Trophy Points:
    140
    As Seller:
    100% - 0
    As Buyer:
    100% - 0
    #14
    Hi
    You just jump the bids. Lets go slowly.
     
    ryukenden, Mar 8, 2007 IP
  15. doga

    doga Well-Known Member

    Messages:
    822
    Likes Received:
    29
    Best Answers:
    0
    Trophy Points:
    148
    As Seller:
    100% - 0
    As Buyer:
    100% - 0
    #15
    Your site is down
     
    doga, Mar 8, 2007 IP
  16. blueboxer

    blueboxer Active Member

    Messages:
    1,421
    Likes Received:
    18
    Best Answers:
    0
    Trophy Points:
    80
    As Seller:
    100% - 0
    As Buyer:
    100% - 1
    #16
    Your site is still down. Another overload?
     
    blueboxer, Mar 8, 2007 IP
  17. superimpose

    superimpose Peon

    Messages:
    99
    Likes Received:
    2
    Best Answers:
    0
    Trophy Points:
    0
    As Seller:
    100% - 0
    As Buyer:
    100% - 0
    #17
    man. my host kicked my out sooner than supposed. site will back up in an hour.
     
    superimpose, Mar 8, 2007 IP
  18. a7a7

    a7a7 Well-Known Member

    Messages:
    359
    Likes Received:
    9
    Best Answers:
    0
    Trophy Points:
    108
    As Seller:
    100% - 0
    As Buyer:
    100% - 0
    #18
    how much spent on advertising?
    and how many of total links you bought are lifetime? :)
     
    a7a7, Mar 8, 2007 IP
  19. superimpose

    superimpose Peon

    Messages:
    99
    Likes Received:
    2
    Best Answers:
    0
    Trophy Points:
    0
    As Seller:
    100% - 0
    As Buyer:
    100% - 0
    #19
    site is backup (pending dns to resolve for some isp)
    i didn't know i can edit the post only once, so i have to update it here.

    -it is registered through registerfly not godaddy
    -attached is adversal stat (feb contain only last 7 days)

    a7a7, i can't really give you the exact USD for the ad campaign. most of the ad come from trade (eg: high impact link with my domain portfolio)

    thanks,
     

    Attached Files:

    superimpose, Mar 8, 2007 IP
  20. ryukenden

    ryukenden Well-Known Member

    Messages:
    2,791
    Likes Received:
    38
    Best Answers:
    0
    Trophy Points:
    140
    As Seller:
    100% - 0
    As Buyer:
    100% - 0
    #20
    If I buy, will you still keep the links with your domain profolio?
     
    ryukenden, Mar 8, 2007 IP